This scene is more difficult than the first two scenes in this series because you and your students will need to apply Snell’s Law to two surfaces as light passes into and then out of a crystal ball. There are some mathematical hints below. You and your students do not need Calculus and you do not need to be able to find critical points of a function of several variables.
Your SWAG includes a one inch diameter clear marble. Light travels within this marble at a speed of 19.8 cm/ns. Hold the marble at arm’s length from your eyes and look through it at a distant scene. Use the ideas we’ve developed so far to explain what you see.
This by far the most difficult scene in this series. It requires real three-dimensional thinking and vectors and the ability to determine many different light paths. It is a great project for programmers or for teams that can share the computational work. One key idea is illustrated in the figure below.

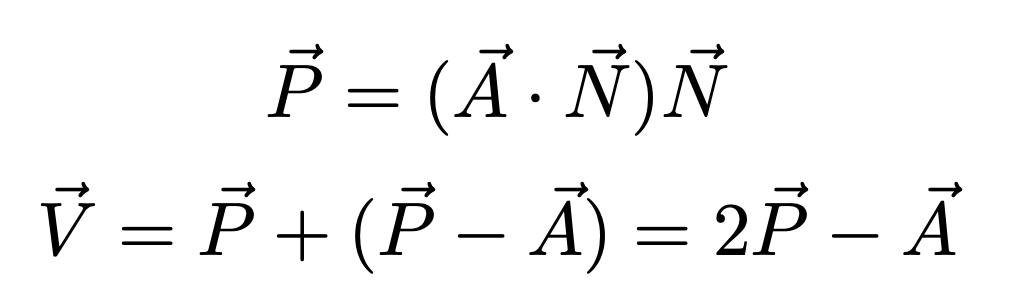
Although this figure is two dimensional on a page it applies through the power of vectors in three dimensions. The centerpiece of this figure is a point on the surface of a mirror. The unit vector N is normal to the surface at this point. The unit vector A points in the direction of an incoming light ray. The unit vector V points in the direction of the reflected light – the outgoing light after it bounces off the mirror. The vector P is the projection or “shadow” of the vector A on the vector N. This figure shows how to determine the vectors P and V using familiar vector operations:

Although this figure looks at reflection in a curved surface, understanding this figure is the key step together with some trigonometry and Snell’s Law in dealing with refraction when the surface between two mediums is curved — like the crystal ball. Because the crystal ball and our mirrors are spherical or cylindrical normal vectors are easy to find without using Calculus.
If you or any of your students are interested in photography this can lead to exciting projects. If you Google “crystal ball photography” you will discover that many artists use crystal balls to create some very striking images. Projects based on this scene can show the power of crystal ball imagery. Mathematics, science and the arts have always pushed each other forward with the sciences and mathematics giving artists new expressive power. This is particularly true now with optics, computational power and photography. Take a look at 360 degree spherical photography for one example of the power that ideas like the ones in this sequence of scenes gives photographers. Use the controls on the page to look around at this scene taken on the Bear Mountain Bridge using a relatively inexpensive three dimensional spherical camera powered by mathematics and computation.